What is the
complex power and how it figures in power analysis
Power absorbed
by a given load
Considerable effort has been expended
over the years to express
power relations as simply as possible. Power engineers have coined the
term complex power, which they use to find the total effect of parallel loads.
Complex power is important in power analysis because
it contains all the information pertaining to the power
absorbed by a given load.
Figure 1 – The voltage and current phasors associated with a load
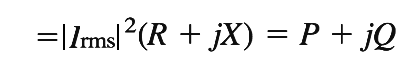
Consider the AC load in Figure 1 above. Given the phasor form V = Vrms∠θv and I = Irms∠θi of voltage v(t) and current i(t), the complex
power S absorbed by the AC load is the product of the
voltage and the complex conjugate of the current, which is denoted I * or
, rather than I itself. This is done such that a leading current
(capacitive load, negative reactance) results in negative reactive power.


or 
Real power P (units in watts, W) is derived as :

For a purely resistive load, real power can be
simplified to :
R denotes resistance ( real
part of the complex number ) of the load Z .
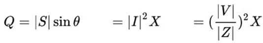
Reactive power Q
(units in volts-amps-reactive, var) is derived as :

For a purely reactive load, reactive power can be
simplified to :
where X
denotes reactance
( imaginary part of the complex number ) of the load Z .
So the complex
power S (units in volt-amps, VA) may be derived as
and the apparent power (units in volt-amps, VA) as 